产品中心 /Products
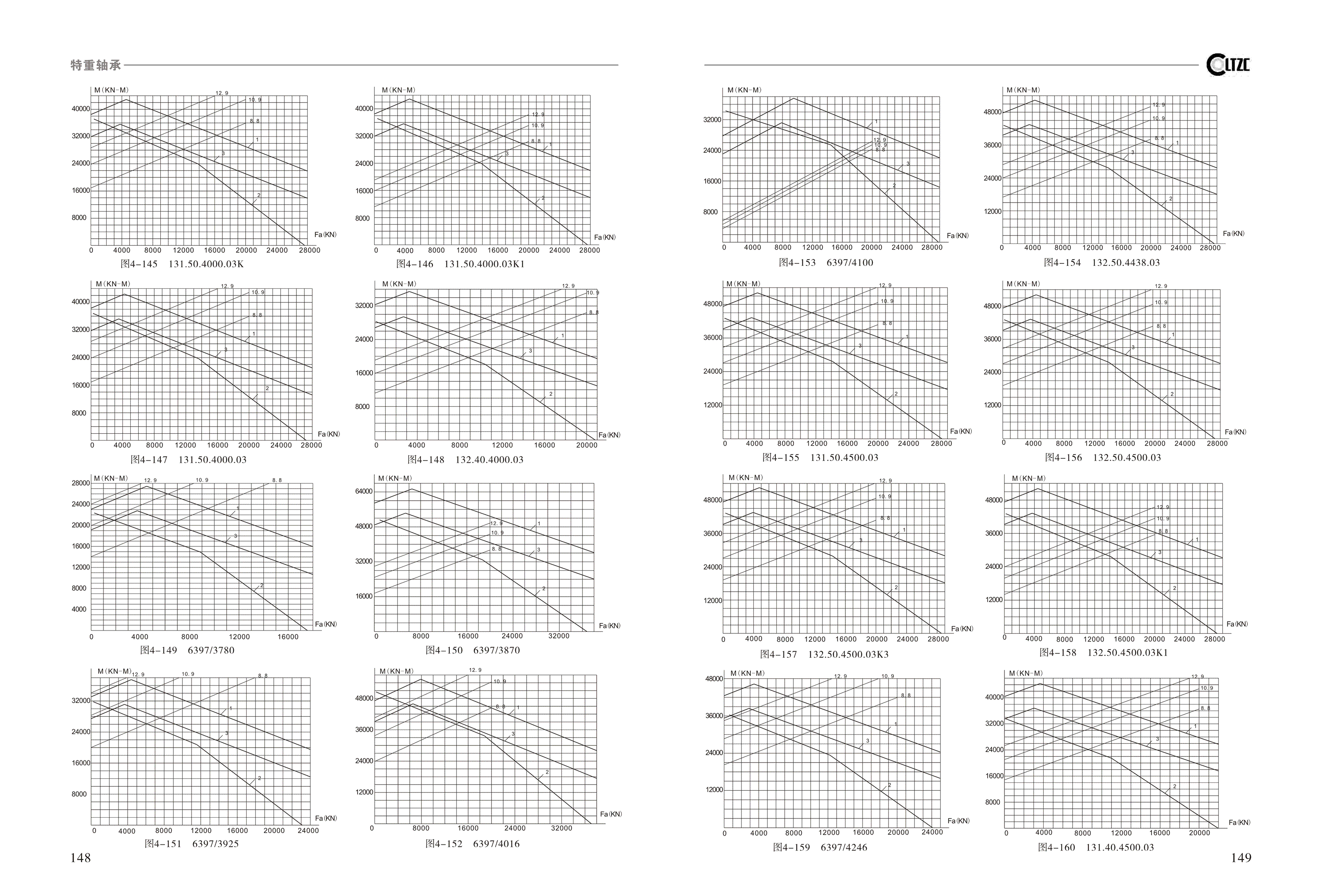
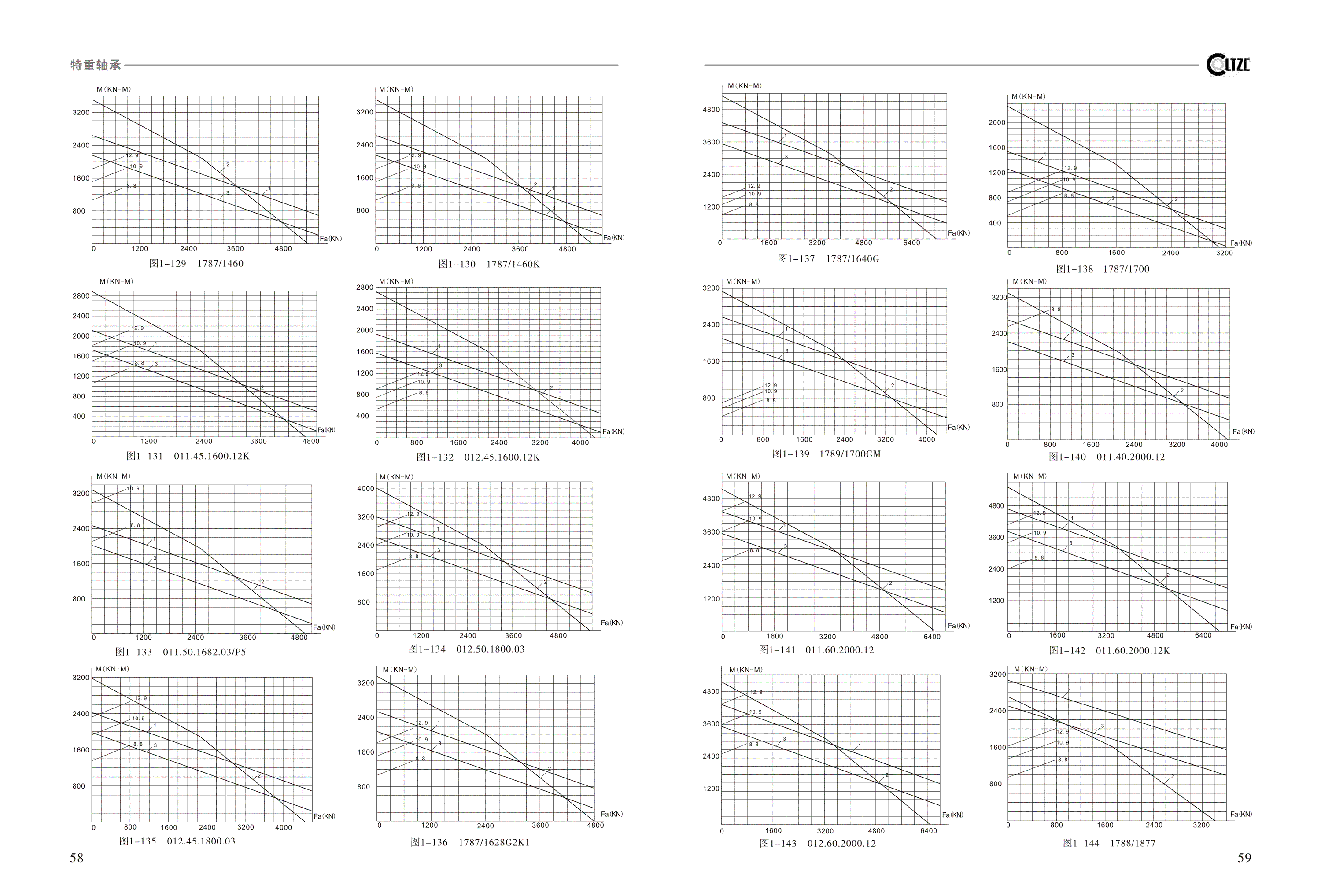
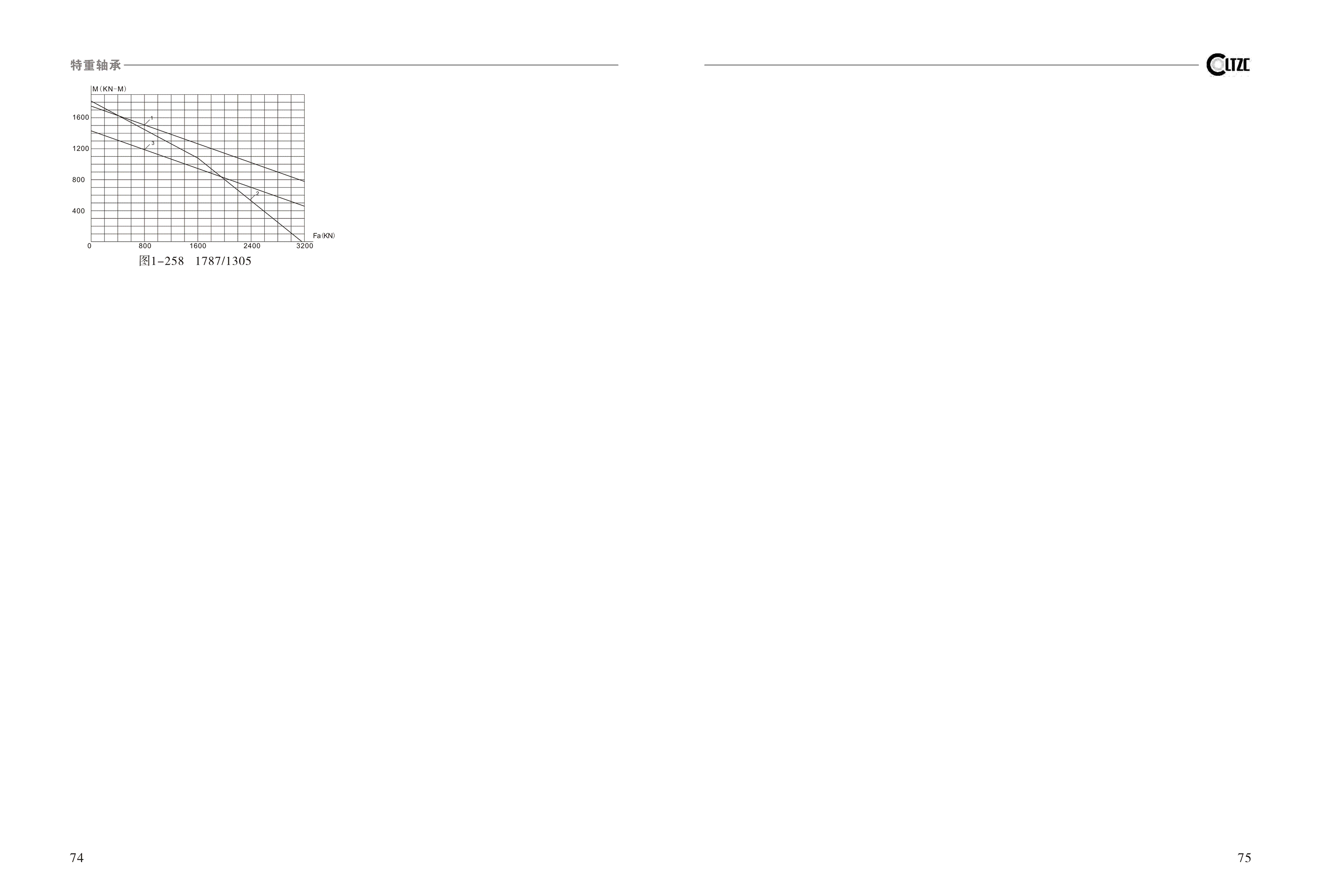
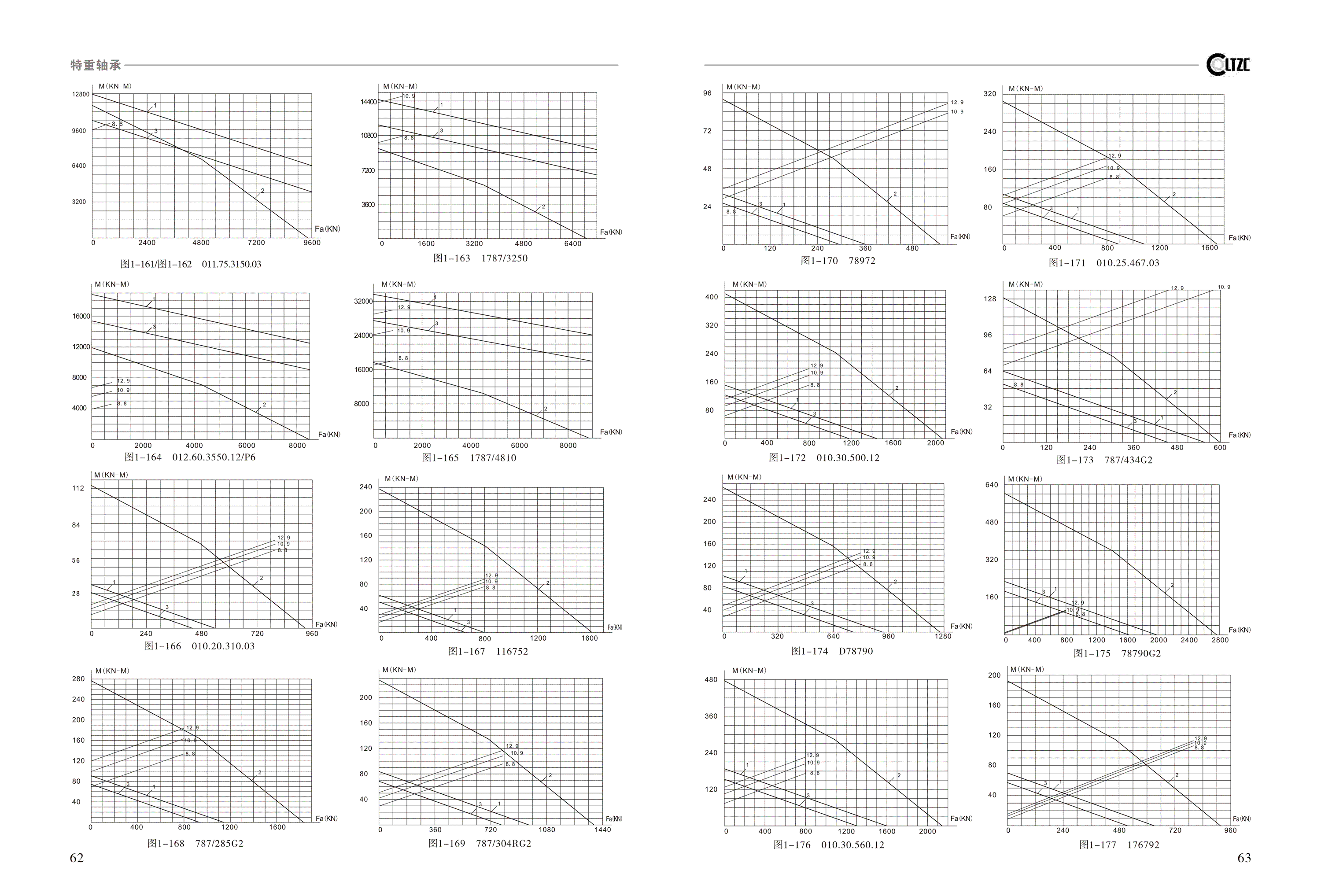
查看详细数据
洛阳特重轴承有限公司
公司电话:0379-6010 9100
136 0396 7868
(王总)
销售部:
133 7379 8755(张部长)
159 3627 9775(王经理)
176 3888 3434(徐经理)
182 3793 3896(李经理)
海外部:
133 5208 5080(王经理)
158 9658 0190(袁经理)
地址:洛阳市宜阳产业集聚区轴承专业园朝阳路9号





0379-60109100
在线留言